暴走英雄坛防御减伤公式解析
众所周知,防御暴走时减伤效果在防御值超过50后会出现衰减。那么不同防御等级对应的减伤比例究竟是多少?防御属性应堆叠到何种程度才最合理?为解答这些问题,我与玩家沧海横流(大家常称其为三千)共同开展了一项测试,详细记录并整理了相关数据。若对推导过程不感兴趣,可直接查看最终结论部分。

?

由于我已完成轮回,经脉存在破防情况,此前测试显示PVP中破防效果达80%,因此需在防御中扣除8点破防值,剩余部分为实际生效的折算防御。减伤比例通过实际伤害与理论伤害的比值得出,理论伤害的具体计算方式将另作说明。
为便于理解,隐藏过程数据后,上表调整如下。

从上图可以看出,防御值在50点以下时,每点防御提供1%减伤效果;超过50点后减伤增幅逐渐下降。通过对数据拟合分析,得出防御值高于50时的计算公式为:y = 0.3370542 Ln(x) - 0.8177861,用于估算其减伤比例。
x为防御值,y为减伤比例。
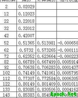
复核上述公式,结果如下所示

该公式误差仅为万分之几,整体可信度较高。但在防御值为143时误差有所增加,到157时计算结果偏高,表明减伤效果在此区间衰减更为显著。
对防御公式进行求导,得到每点防御的减伤比例为 y=0.3370542/x,相关数据已整理成表格,详见结论部分供参考。
针对157防御时数据偏差较大的情况,推测防御值超过150后可能存在独立的计算机制。通过公式反推150防御时的减伤效果,并对比151至157防御区间每点带来的减伤比例,发现该区间平均仅为0.064%,远低于150防御时的0.225%。可见防御突破150后收益急剧下降,提升幅度显著衰减,继续堆叠防御属性性价比极低,因此不推荐进一步追求高防御数值。
防御计算规则如下:当角色防御力低于50时,每点防御提供1%的减伤效果;当防御力超过50时,减伤比例按公式 y = 0.3370542 Ln(x) - 0.8177861 计算,该公式适用于防御值在50至150之间的区间。建议角色最终防御值(扣除敌方破防效果后)不要超过150,超出部分收益极低,此建议主要针对高投入玩家。同时提供各防御等级对应的减伤比例参考表,玩家可根据自身实际情况和承受能力,选择性价比更高的防御类装备,在资源合理分配的前提下提升生存能力。

衷心感谢暴二、三千大佬的大力支持与帮助!
- 1和平精英
-
1
- 2香肠派对
-
2
- 3火龙复古
-
3
- 4暗黑破坏神2.7 重制版
-
4
- 5战场女神
-
5
- 6战神之决战西伯利亚
-
6
- 7黎明召唤
-
7
- 8超神之刃
-
8




三国:谋定天下
侠盗猎车手:罪恶都市
幻唐志
离火之境
辐射:避难所Online
梦想世界:长风问剑录














