所在位置:首页 > 手游 > 手游攻略 — 《雷霆远征》药剂师医务站建筑介绍

《雷霆远征》药剂师医务站建筑介绍

作者: 日期:2025-11-05 08:46:37

《雷霆远征》游戏中药剂师医务站建筑有什么作用?药剂师医务战可以为伤病医疗提供加成,好的药剂师医务战建筑,可以为玩家提供更大的伤兵营,并且能够更加快速的为伤员治疗,那么接下来小编为大家带来《雷霆远征》药剂师医务站建筑介绍,一起来看看吧。

《雷霆远征》药剂师医务站建筑介绍

一、药剂师医务站建筑介绍

【基础作用】

每个基地都有这样一个存在,它没有傲人的攻击能力,也不能为战斗提供技术加成,但是它却是必不可少的,它就是药剂师医务站。它地处各兵营之间,主要的作用是加强伤兵的治疗,升级后可以提升医疗伤兵的容量和医疗的速度,可以有效的恢复战队兵力。

【治疗作用】

药剂师医务站不仅可以治疗伤兵,还可以收容伤兵。在守城、攻击混沌部队和采集资源时,队伍被攻击的情况下,会有士兵受伤,受伤的士兵便可以进入此建筑治疗,当药剂师医务站收容数量满了之后,得不到救助的士兵便会直接死亡,因此需要及时治疗收容的伤兵,可以通过建造和升级药剂师医务站和伤兵营来提升收容的上限。

治疗伤兵可以花费水晶直接完成或者等待时间后自动完成,随着药剂师医务站的等级提升,水晶数量和治疗时间都会增加。还能自行选择治疗士兵的数量和种类。

二、药剂师医务站建筑的升级

【升级条件】

作为军事力量的重要支持,药剂师医务站的升级对于整体的战斗力起到了很大的作用。母舰的等级限制是该建筑升级唯一的前置条件,只要母舰达到了应该的等级,药剂师医务站便可以升级到对应等级。

同别的建筑一样,药剂师医务站的升级也需要消耗资源,前期消耗较少,以金属和燃料为主,中后期对于四种资源的需求相对较大。此外,直接使用水晶能立刻完成升级,也可以等待时间让它自动完成升级。等级越高,对资源、水晶和时间的需求也会越大。

【升级效果】

药剂师医务站的升级,主要有两个明显的效果,第一个是可以增大伤兵的容量,减少因得不到救治而死亡的士兵数;第二个是提高治疗的速度,增加战斗力恢复的效率。

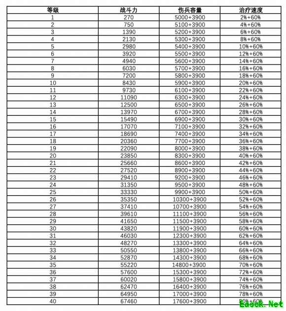
具体的升级效果如下图所示:

三、药剂师医务站升级推荐

尽管药剂师医务站不是主要的战斗输出建筑,但其为整个队伍起到了后方援助和保障的作用,要想合理的升级药剂师医务站,可以参考以下三个技巧。

1、储存升级资源

战队发展前期,对药剂师医务站的使用率相对较低,因为前期战斗行为相对较谨慎,很少有指挥官会选择和没有胜算的混沌部队战斗,因此士兵的伤害率较低。

可以在前期多采集资源,为中后期的药剂师医务站的升级做储备。

2、合理分配伤兵总量

因为药剂师医务站的伤兵总量设有上限,到达数量之后无法为多余的伤兵进行治疗,得不到救助的伤兵只能死亡。因此,合理分配伤兵的治疗比例很重要。

前期如果存在多个兵种受伤,超过了收容上限时,建议尽量以治疗先锋老兵和无畏机甲为主,治疗他们可以保障队伍基本输出和防御水平。

3、中后期重点升级

到了发展的中后期,队伍的实力变强,资源增多,但更容易遭到敌方的觑觎并突袭,所以尽管实力增强,但相应的战斗激烈程度也会增加,士兵的受伤率和数量都会大大加深,在这个时期,就需要加大伤兵的收容量和治疗速度,以便遇到敌方突袭时,没有足够的兵力进行对抗,也可以减少士兵的死亡率。

以上就是小编整理的关于《雷霆远征》药剂师医务站建筑介绍的全部内容,更多游戏攻略请持续关注易采游戏网!

本文内容来源于互联网,如有侵权请联系删除。

最新文章