所在位置:首页 > 手游 > 手游攻略 — 《雷霆远征》仓库升级优先度推荐

《雷霆远征》仓库升级优先度推荐

作者: 日期:2025-11-05 08:42:04

《雷霆远征》游戏中仓库什么时候升级?仓库在游戏中为玩家保护物资和材料的建筑,游戏中升级仓库可以让仓库的保护量增加,什么玩家表示不知道仓库在什么时候升级比较好,那么接下来小编为大家带来《雷霆远征》仓库升级优先度推荐,一起来看看吧。

《雷霆远征》仓库升级优先度推荐

一、仓库建筑介绍

从基地建筑图示来看,仓库位于母舰的右前方,有一条黄色的指示灯持续环绕扫射。它主要用于保护基地资源,当基地被敌方进攻并且战斗失败之后,可以保护一部分的资源,使其免遭敌方的夺取,这对于基地的整体发展和我方实力的留存都十分重要,起到了防盗门的功效。

并且保护资源的能力,随着等级的提升也会加强。

二、仓库建筑的升级

1、升级条件

仓库升级可以加大资源的保护,因此建筑的升级十分重要。

仓库升级唯一的前置条件是母舰等级的限制,也就是说仓库要想升级到下一个等级,必须要母舰先达到此等级。并且升级需要消耗资源,前期以金属和燃料为主,中后期四种资源都需要,并且需求量以等级的升高而加大,不过指挥官们可以通过采集和完成任务的奖励获得这些资源。

此外,升级的完成方式可以通过水晶立刻完成,也可以等待时间自动完成,等级不同花费量也会相应递增。

2、升级效果

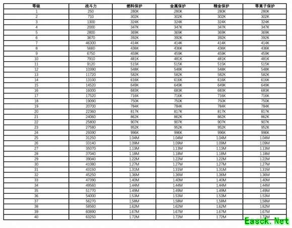
仓库的等级越高,对于资源保护的力度就越大,值得注意的是,等级的提升对于四种资源的保护程度是相同的,具体的升级效果可以看下图一览。

三、仓库升级技巧

从上述的升级效果来看,如果不想在前期资源遭到掠夺,影响发展进程,升级仓库十分重要,这里可以提供三个小技巧帮助指挥官们有效的升级。

1、更快获取资源

前文提到过,仓库的升级需要消耗资源,尽管在前期的需求量和资源种类都较少,但到了中后期,尤其是后期,对于资源的需求量十分大,因此,如何更高效率的获取资源非常重要。

在《雷霆远征》中,指挥官们可以在星图中选择探索资源,进行采集;

还可以通过建造冶炼厂来制造资源;

最后,完成任务也会获得资源的奖励。此外,有时候在线奖励也会掉落资源噢。

2、合理使用加速道具

在建造和升级的过程中,在不使用水晶的情况下,需要花费时间,使用加速道具可以有效的缩短建筑升级的时间,也就是说,使用加速道具可以更快的提升我们的实力,因此,合理使用加速道具值得指挥官们注意。

3、前期优先升级仓库

不仅在建筑升级上,士兵的训练和科技的研究等方面都需要使用资源,资源的使用程度很高,可以看出在基地发展前期,资源的储存和防止被盗取十分重要。因此建议在前期优先升级仓库,加大资源的保护力度,为我方的前期实力和日后的发展前景做储备。

以上就是小编整理的关于《雷霆远征》仓库升级优先度推荐的全部内容,更多游戏攻略请持续关注易采游戏网!

本文内容来源于互联网,如有侵权请联系删除。

最新文章